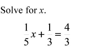
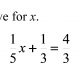
Equation 1
Human = eat + sleep + work + enjoy
Donkey = eat + sleep + work
Therefore:
Human = Donkey + enjoy
Therefore:
Human-enjoy = Donkey
In other words,
A Human that doesn’t know how to enjoy = Donkey that works.
Equation 2
Man = eat + sleep + earn money
Donkey = eat + sleep
Therefore:
Man = Donkey + earn money
Therefore:
Man-earn money = Donkey
In other words
Man who doesn’t earn money = Donkey
Equation 3
Woman= eat + sleep + spend
Donkey = eat + sleep
Therefore:
Woman = Donkey + spend
Woman – spend = Donkey
In other words,
Woman who doesn’t spend = Donkey
To Conclude:
From Equation 2 and Equation 3
Man who doesn’t earn money = Woman who doesn’t spend
So Man earns money not to let woman become a donkey!
And a woman spends not to let the man become a donkey!
So, We have:
Man + Woman = Donkey + earn money + Donkey + Spend money
Therefore.
from postulates 1 and 2, we can conclude
Man + Woman = 2 Donkeys that live happily together, earning and spending!








